Free Access

Fig. 7

image

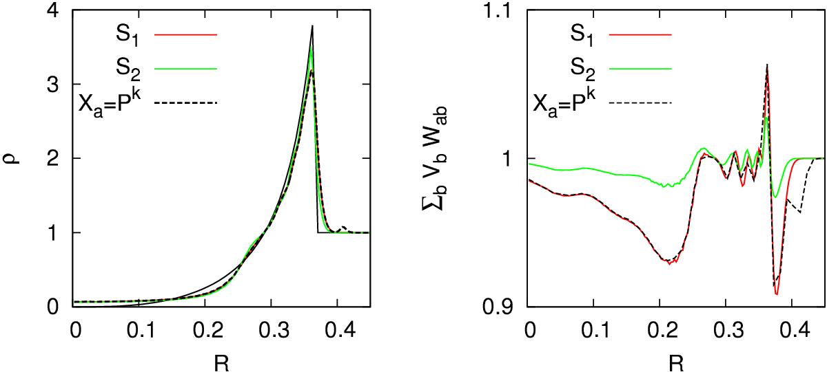
Results for the 2D Sedov test at t = 0.1 taking Xa = Pk, where P is the pressure and k = 0.05 (black dashed line) compared to models S1 (red) and S2 (green). We show here the radial profiles of the density (left panel) and the equipartition condition (right panel). Solid black line is the analytic solution for the density profile. We note on the left panel that there is a small precursor bump in density for the calculation with Xa = Pk which, for models S1 and S2, is absent.

Current usage metrics show cumulative count of Article Views (full-text article views including HTML views, PDF and ePub downloads, according to the available data) and Abstracts Views on Vision4Press platform.

Data correspond to usage on the plateform after 2015. The current usage metrics is available 48-96 hours after online publication and is updated daily on week days.

Initial download of the metrics may take a while.