Free Access

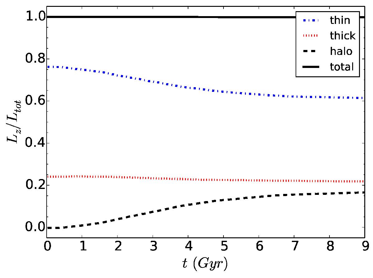
Fig. 12

image

Total angular momentum of the thin (dash-dotted blue) and thick (dotted red) discs, of the dark matter halo (dashed black), and of the total angular momentum in all the components (solid black) as a function of time, normalised by the total angular momentum. The discs lose angular momentum, which is transferred to the dark matter halo, while the thin disc loses a much higher percentage than the thick disc (see text).

Current usage metrics show cumulative count of Article Views (full-text article views including HTML views, PDF and ePub downloads, according to the available data) and Abstracts Views on Vision4Press platform.

Data correspond to usage on the plateform after 2015. The current usage metrics is available 48-96 hours after online publication and is updated daily on week days.

Initial download of the metrics may take a while.