Free Access

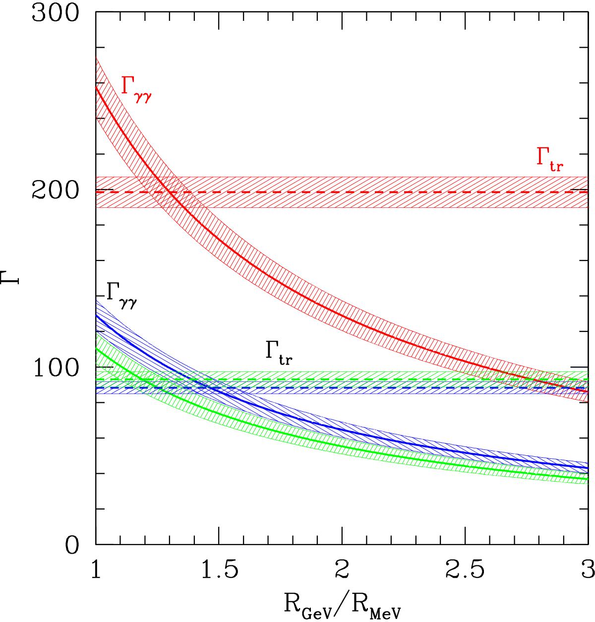
Fig. 7

image

Same as left panel of Fig. 6, but assuming that the observed cutoff is a natural break. The Lorentz factor Γγγ is now a lower limit obtained from the photon of highest energy in each time interval.

Current usage metrics show cumulative count of Article Views (full-text article views including HTML views, PDF and ePub downloads, according to the available data) and Abstracts Views on Vision4Press platform.

Data correspond to usage on the plateform after 2015. The current usage metrics is available 48-96 hours after online publication and is updated daily on week days.

Initial download of the metrics may take a while.