Free Access

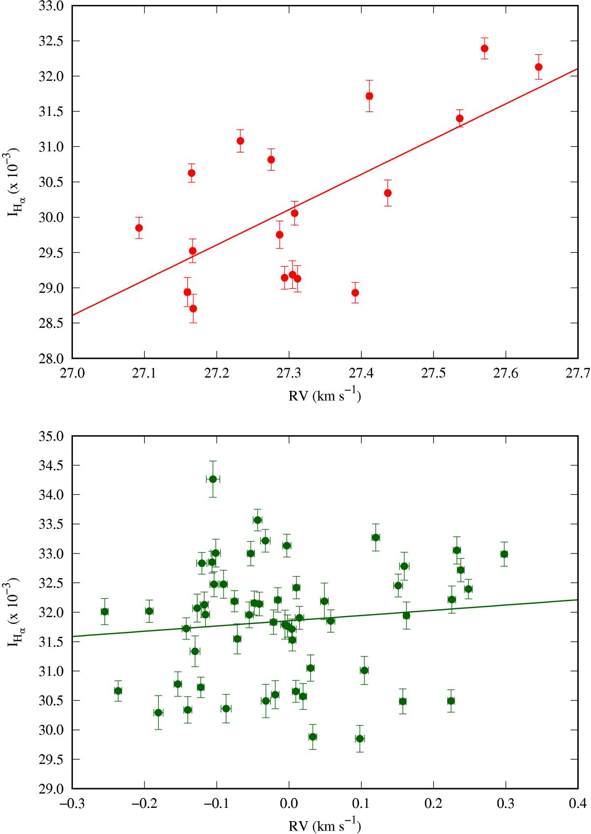
Fig. 1

image

Hα activity index of HD 103485 measured from TNG/HARPS-N spectra (top panel) and from HET/HRS ones (lower panel). Solid lines present linear fits to the data. Although Hα activity index measured from HET/HRS does not present correlation with HET/HRS radial velocities, the one measured from TNG/HARPS-N spectra shows clear correlation with TNG/HARPS-N radial velocities.

Current usage metrics show cumulative count of Article Views (full-text article views including HTML views, PDF and ePub downloads, according to the available data) and Abstracts Views on Vision4Press platform.

Data correspond to usage on the plateform after 2015. The current usage metrics is available 48-96 hours after online publication and is updated daily on week days.

Initial download of the metrics may take a while.