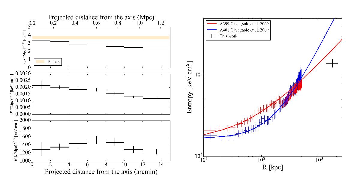
Fig. 7
 
      Left: radial profiles of the pseudo-electron density, thermal pressure, and entropy. In the top panel, the orange region indicates the electron density from the Planck result of Planck Collaboration VIII (2013). Right: radial entropy profiles for A399 (red) and A401, respectively. Crosses show the results from Chandra observations (Cavagnolo et al. 2009). The solid line represents the empirical model K(r) = K0 + K100(r/ 100 kpc)α. We adopt the best-fit parameters from (Cavagnolo et al. 2009), i.e., K0:A399 = 153.20,K100:A399 = 204.34,αA399 = 0.79, K0:A401 = 166.80,K100:A401 = 81.79,αA401 = 1.40, respectively.
Current usage metrics show cumulative count of Article Views (full-text article views including HTML views, PDF and ePub downloads, according to the available data) and Abstracts Views on Vision4Press platform.
Data correspond to usage on the plateform after 2015. The current usage metrics is available 48-96 hours after online publication and is updated daily on week days.
Initial download of the metrics may take a while.
 
  
          