Free Access

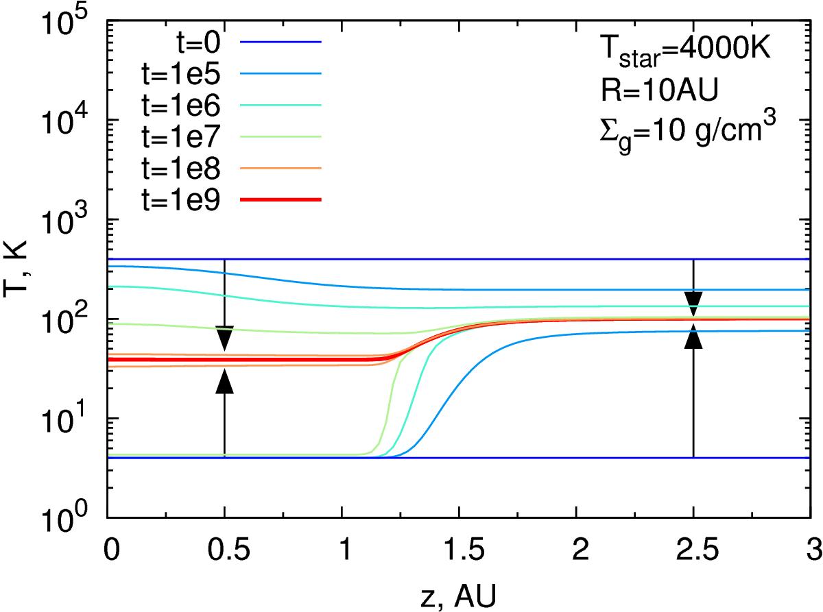
Fig. A.2

image

Evolution of the gas temperature distribution at r = 10 AU in a toy model of the protoplanetary disk. The density structure is fixed. The initial temperature distribution is uniform with T = 4 K (first case) and T = 400 K (second case). The initial distributions are shown in shades of blue, the steady-state solution is shown in red. The arrows illustrate the evolution of the gas temperature profiles with time. The corresponding time in seconds is shown in the color legend.

Current usage metrics show cumulative count of Article Views (full-text article views including HTML views, PDF and ePub downloads, according to the available data) and Abstracts Views on Vision4Press platform.

Data correspond to usage on the plateform after 2015. The current usage metrics is available 48-96 hours after online publication and is updated daily on week days.

Initial download of the metrics may take a while.