Free Access

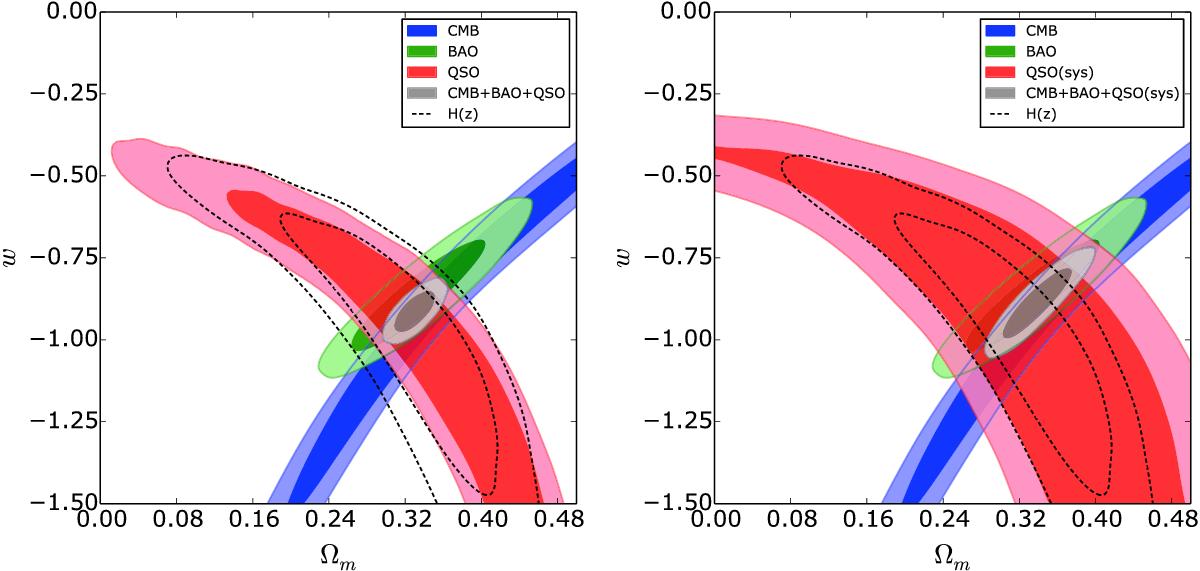
Fig. 11

image

XCDM model: 68.3% and 95.4% confidence regions in the (Ωm, w) plane from QSO, BAO, CMB, and H(z). The left panel shows the QSO confidence region with the best-fit value for l only, while the right panel shows the confidence region including systematical uncertainties of l, β, and n. We note that CMB and QSO constraints are orthogonal, making this combination of cosmological probes very powerful for investigating the nature of dark energy.

This figure is made of several images, please see below:

Current usage metrics show cumulative count of Article Views (full-text article views including HTML views, PDF and ePub downloads, according to the available data) and Abstracts Views on Vision4Press platform.

Data correspond to usage on the plateform after 2015. The current usage metrics is available 48-96 hours after online publication and is updated daily on week days.

Initial download of the metrics may take a while.