Free Access

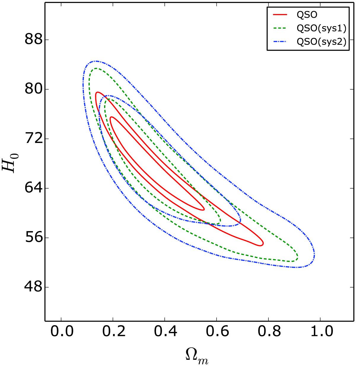
Fig. 9

image

Cosmological constraints on the flat ΛCDM model from the quasar sample without and with different systematical uncertainties: sys1 denotes the systematics with l = 11.03 ± 0.25 pc, β = 0.00 ± 0.05, and n = 0.00 ± 0.05, while sys2 represents the systematics with l = 11.03 ± 0.25 pc, β = 0.00 ± 0.10, and n = 0.00 ± 0.10.

Current usage metrics show cumulative count of Article Views (full-text article views including HTML views, PDF and ePub downloads, according to the available data) and Abstracts Views on Vision4Press platform.

Data correspond to usage on the plateform after 2015. The current usage metrics is available 48-96 hours after online publication and is updated daily on week days.

Initial download of the metrics may take a while.