Free Access

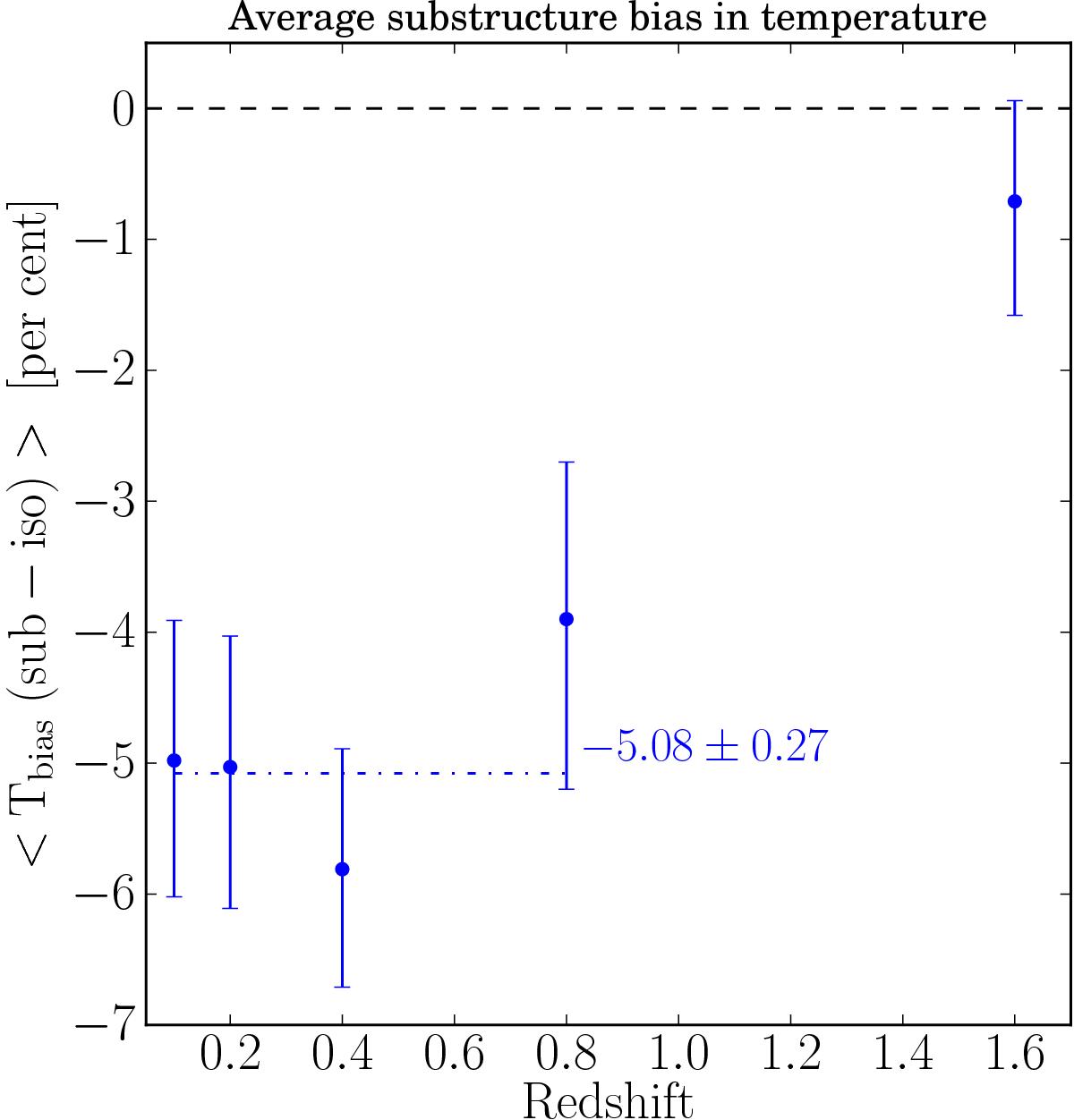
Fig. 3

image

Temperature bias due to substructure at different redshifts. The annotation shows the average bias between redshift 0.1 and 0.8. Errorbars are 1σ uncertainties from a bootstrap re-sampling technique.

Current usage metrics show cumulative count of Article Views (full-text article views including HTML views, PDF and ePub downloads, according to the available data) and Abstracts Views on Vision4Press platform.

Data correspond to usage on the plateform after 2015. The current usage metrics is available 48-96 hours after online publication and is updated daily on week days.

Initial download of the metrics may take a while.