Free Access

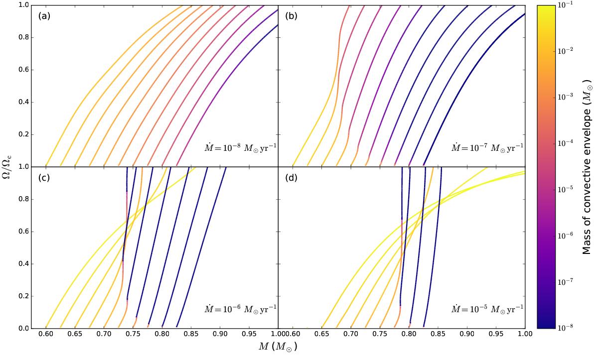
Fig. 4

image

Evolution of the surface rotation velocity (starting from Ω/Ωc ≈ 0) for CEMP-s star progenitors of different initial masses when adding mass with ja = 5 × 1017 cm2s-1. The colour coding shows that the disappearance of the convective envelope is accompanied by a rapid expansion phase, during which Ω/Ωc increases.

Current usage metrics show cumulative count of Article Views (full-text article views including HTML views, PDF and ePub downloads, according to the available data) and Abstracts Views on Vision4Press platform.

Data correspond to usage on the plateform after 2015. The current usage metrics is available 48-96 hours after online publication and is updated daily on week days.

Initial download of the metrics may take a while.