Free Access

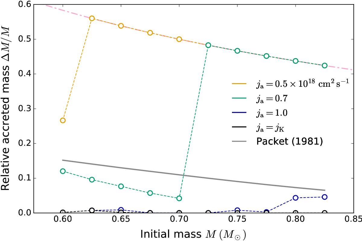
Fig. 7

image

Mass accreted before critical rotation is reached (relative to initial mass) by differentially rotating CEMP-s star progenitors for different values of the specific angular momentum of accreted material. Here = 10-6M yr-1. The models were stopped at ΔM = 0.35 M (dash-dotted line) if critical rotation had not been reached by that point.

Current usage metrics show cumulative count of Article Views (full-text article views including HTML views, PDF and ePub downloads, according to the available data) and Abstracts Views on Vision4Press platform.

Data correspond to usage on the plateform after 2015. The current usage metrics is available 48-96 hours after online publication and is updated daily on week days.

Initial download of the metrics may take a while.