Free Access

Fig. 1

image

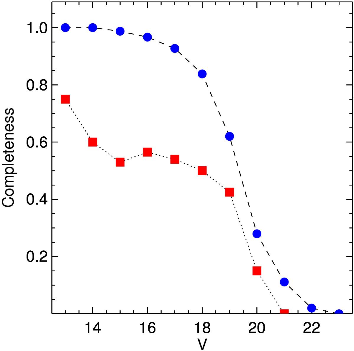
Comparison of the V-band spectroscopic completeness for the original WINGS-SPE catalog presented in Cava et al. (2009; red squares and dotted line; including 48 clusters, 6137 galaxies) and for the current WINGS+literature (blue dots and dashed line; 73 clusters, 10 277 galaxies) catalog.

Current usage metrics show cumulative count of Article Views (full-text article views including HTML views, PDF and ePub downloads, according to the available data) and Abstracts Views on Vision4Press platform.

Data correspond to usage on the plateform after 2015. The current usage metrics is available 48-96 hours after online publication and is updated daily on week days.

Initial download of the metrics may take a while.