Free Access

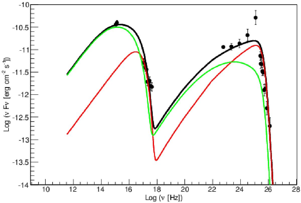
Fig. 4

image

Two-zone SSC modeling of PKS 1424+240, using the model described in Chen et al. (2015). The green line represents the emission from the accelerating region, and the red one the emission from the diffusion region. The black line represents the combined emission from both zones.

Current usage metrics show cumulative count of Article Views (full-text article views including HTML views, PDF and ePub downloads, according to the available data) and Abstracts Views on Vision4Press platform.

Data correspond to usage on the plateform after 2015. The current usage metrics is available 48-96 hours after online publication and is updated daily on week days.

Initial download of the metrics may take a while.