Free Access

Fig. 11

image

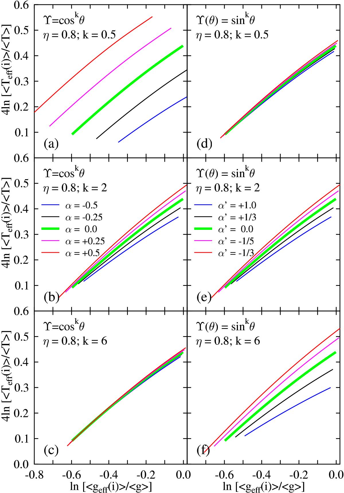
Relation between the apparent 4ln [ Teff(i) / ⟨ T ⟩ ] and ln [ geff(i) / ⟩ ⟨ g ⟩ ]; a)–c) for Υ(θ) = coskθ with α from − 0.5 to +0.5; d)–f) for sinkθ and α′ =α/ (1 = α). All curves are for η = 0.8, with k = 0.5, 2.0, 6.0. The colour-codes according to α and α indicated in the respective blocks for k = 2 hold for all curves having the same Υ(θ). The equator-on seeing directions (iπ/ 2) are in the lower left corner of each block, while the polar-on directions (i → 0) are in the upper right corner.

Current usage metrics show cumulative count of Article Views (full-text article views including HTML views, PDF and ePub downloads, according to the available data) and Abstracts Views on Vision4Press platform.

Data correspond to usage on the plateform after 2015. The current usage metrics is available 48-96 hours after online publication and is updated daily on week days.

Initial download of the metrics may take a while.