Free Access

Fig. 12

image

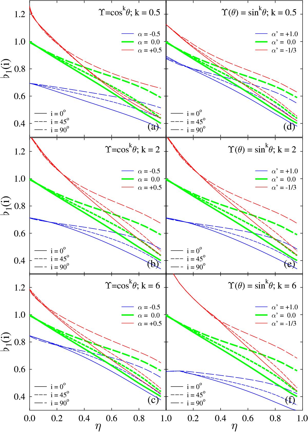
Gravitational-darkening slope 1(i) against the rotational ratio η. The colours identify the values of the differential parameter α, and the line-styles are for the inclination angles. In a) to c) the slope 1(i) was calculated with Υ(θ) = coskθ and from d) to f) b1(i) was obtained with Υ(θ) = sinkθ. As throughout in this work, rigid rotation (α = 0) is identified with green lines.

Current usage metrics show cumulative count of Article Views (full-text article views including HTML views, PDF and ePub downloads, according to the available data) and Abstracts Views on Vision4Press platform.

Data correspond to usage on the plateform after 2015. The current usage metrics is available 48-96 hours after online publication and is updated daily on week days.

Initial download of the metrics may take a while.