Free Access

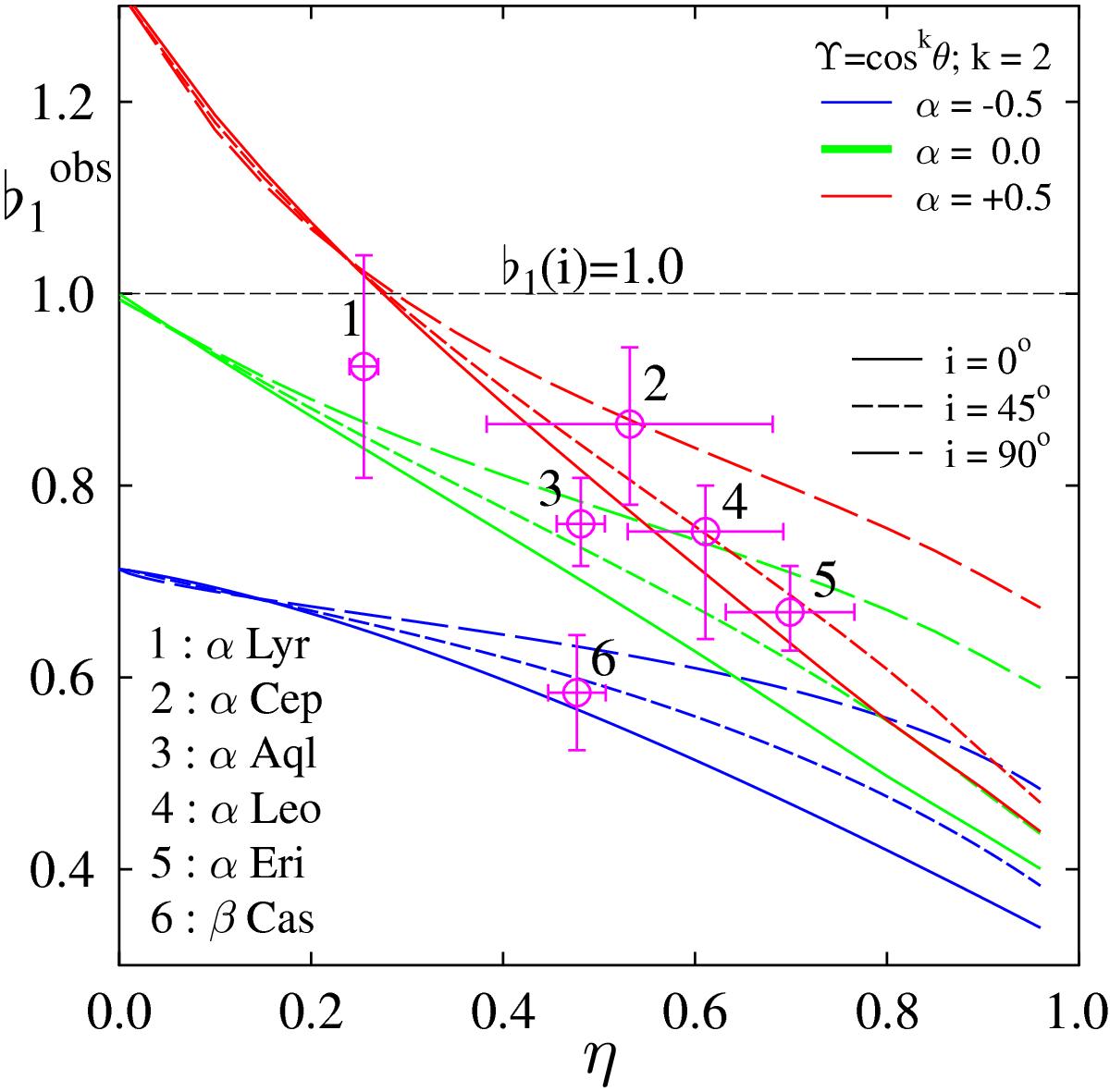
Fig. 13

image

Comparison of the empirical gravitational-darkening slope (see reference in Domiciano de Souza et al. 2014) with the curves representing the 1(i) of rotators with k = 2, Υ(θ) = cosθ, α = − 0.5, 0.0 (green curves) and α = + 0.5, and inclination angles i = 0°, 45° and 90° (dentified with different line styles). The dashed black dashed line is for 1(i) = 1.

Current usage metrics show cumulative count of Article Views (full-text article views including HTML views, PDF and ePub downloads, according to the available data) and Abstracts Views on Vision4Press platform.

Data correspond to usage on the plateform after 2015. The current usage metrics is available 48-96 hours after online publication and is updated daily on week days.

Initial download of the metrics may take a while.