Free Access

Fig. 2

image

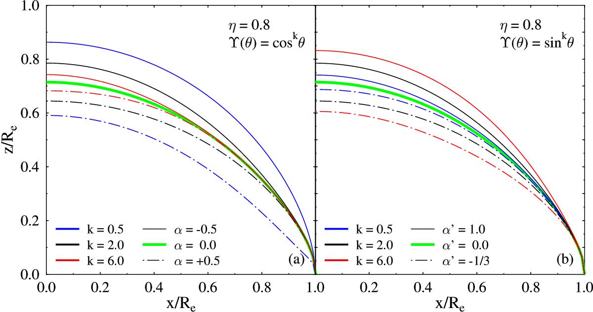
Geometrical deformation of stellar surfaces produced by differential rotation laws given by Eqs. (4) and (5). Panel a: Stellar geometries calculated using Υ(θ) = coskθ, rotational ratio η = 0.8, differential rotation parameters α = − 0.5, 0.0 (solid body rotation) and 0.5, and powers k = 0.5, 2.0 and 6.0. Panel b: Calculations done with Υ(θ) = sinkθ and the same values of η and powers k, but for α′ = − α/ (1 + α). In all cases the colours identify the values of the power k, while the line-styles characterize the values of the differential-rotation parameter α, and the corresponding α.

Current usage metrics show cumulative count of Article Views (full-text article views including HTML views, PDF and ePub downloads, according to the available data) and Abstracts Views on Vision4Press platform.

Data correspond to usage on the plateform after 2015. The current usage metrics is available 48-96 hours after online publication and is updated daily on week days.

Initial download of the metrics may take a while.