Free Access

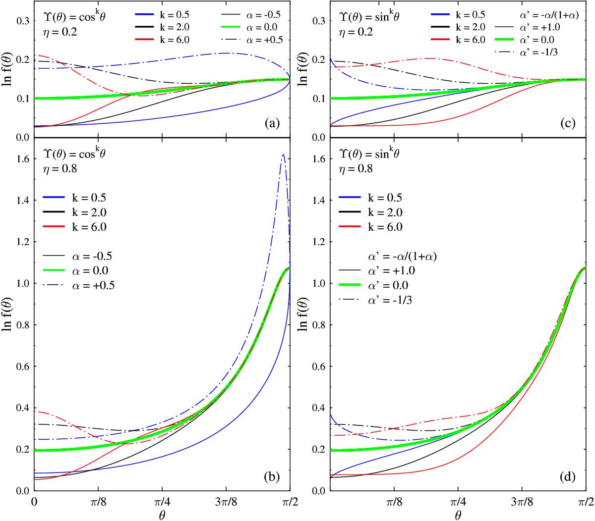
Fig. 3

image

Function lnf(θ) given by Eq. (11) against the colatitude θ, calculated for η = 0.2 and 0.8, with both functions Υ(θ) given in Eq. (5), differential-rotation parameters α = − 0.5, 0.0, and 0.5, and for powers k = 0.5, 2.0 and 6.0. Blocks (a) and (b) are for Υ(θ) = coskθ. Blocks (c) and (d) are for Υ(θ) = sinkθ. Colours indicate the power k and they are the same for all blocks. The line-styles identify the values of α and they are the same for α′ = − α/ (1 + α) where α are the same as in (a) and (b).

Current usage metrics show cumulative count of Article Views (full-text article views including HTML views, PDF and ePub downloads, according to the available data) and Abstracts Views on Vision4Press platform.

Data correspond to usage on the plateform after 2015. The current usage metrics is available 48-96 hours after online publication and is updated daily on week days.

Initial download of the metrics may take a while.