Free Access

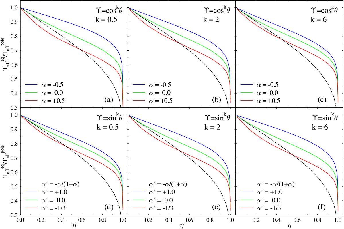
Fig. 5

image

Panels a–c: Effective temperature ratios as a function of η and different values k and α when Υ(θ) = coskθ. Panels d–f: Same for Υ(θ) = sinkθ and for the same values of k as before, but for α′ = − α/ (1 + α) where α is the same as in (a) to (c). The black-dashed lines correspond to the classic von Zeipel approximation.

Current usage metrics show cumulative count of Article Views (full-text article views including HTML views, PDF and ePub downloads, according to the available data) and Abstracts Views on Vision4Press platform.

Data correspond to usage on the plateform after 2015. The current usage metrics is available 48-96 hours after online publication and is updated daily on week days.

Initial download of the metrics may take a while.