Free Access

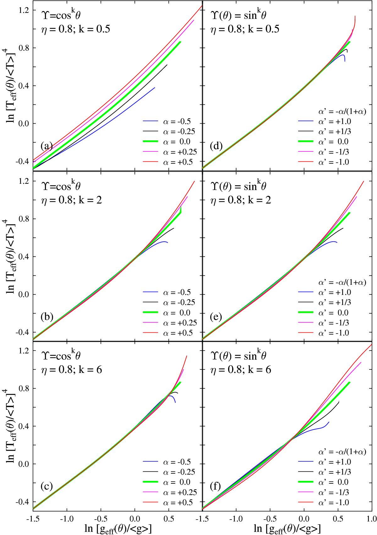
Fig. 8

image

Effective temperature given as ln [ Teff(θ) / ⟨ T ⟩ ] 4 against ln [ geff(θ) / ⟨ g ⟩ ] for η = 0.8. Panels a–c: are for Υ(θ) = coskθ with k = 0.5, 2.0 and 6.0, respectively and α ranging from − 0.5 to + 0.5. Panels d–f: are for Υ(θ) = sinkθ with k = 0.5, 2.0 and 6.0, respectively and α′(α) ranging from − 1.0 to + 1.0. In all cases the left-bottom corner corresponds to the equator and the right-upper corner to the pole.

Current usage metrics show cumulative count of Article Views (full-text article views including HTML views, PDF and ePub downloads, according to the available data) and Abstracts Views on Vision4Press platform.

Data correspond to usage on the plateform after 2015. The current usage metrics is available 48-96 hours after online publication and is updated daily on week days.

Initial download of the metrics may take a while.