Free Access
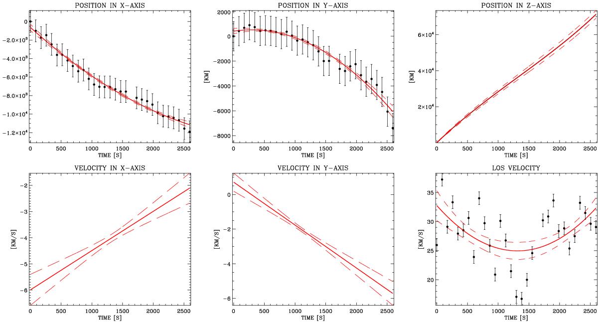
Fig. 14

Kinematic properties of knot number 7. Black points with error bars represent data points xn,yn,vn. Red solid lines represent polynomial fits, their derivatives (for vx and vy), and integral (for Δz). Dashed lines represent fitting errors estimated using bootstrap resampling (see e.g. Andrae 2010).
Current usage metrics show cumulative count of Article Views (full-text article views including HTML views, PDF and ePub downloads, according to the available data) and Abstracts Views on Vision4Press platform.
Data correspond to usage on the plateform after 2015. The current usage metrics is available 48-96 hours after online publication and is updated daily on week days.
Initial download of the metrics may take a while.