Free Access

Fig. 4

image

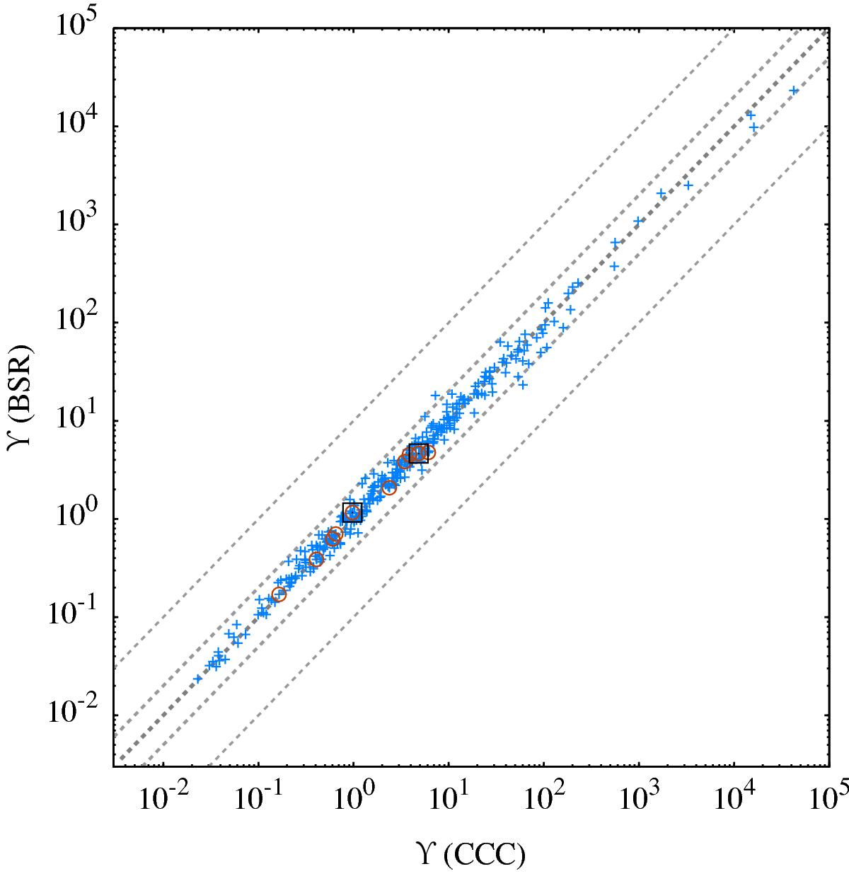
Comparison of the effective collision strengths Υij at 5000 K from CCC and BSR. The central dashed line shows the one-to-one relation, with the outer dashed lines showing factors of two and ten departures from this relation. Circled points are transitions involving the lowest five states of Mg. Points shown surrounded by a square are the transitions from the ground state to the two lowest-lying excited states, i.e. 3s–3s3p3P and 3s–3s3p1P, the former always having a larger effective collision strength.

Current usage metrics show cumulative count of Article Views (full-text article views including HTML views, PDF and ePub downloads, according to the available data) and Abstracts Views on Vision4Press platform.

Data correspond to usage on the plateform after 2015. The current usage metrics is available 48-96 hours after online publication and is updated daily on week days.

Initial download of the metrics may take a while.