Free Access

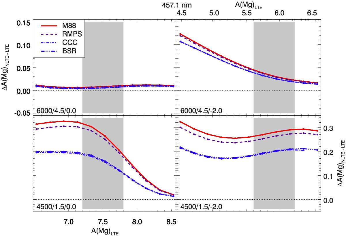
Fig. 6

image

Abundance corrections for the 457 nm line using four atmospheric models and four model atoms differing only in the electron collisional data used. The parameters of the atmospheric models are shown in the bottom left of each panel in the format Teff/log g/[Fe/H]. The M88 model atom (solid line) includes data from Mauas et al. (1988), the RMPS model is the model “F” used in Osorio et al. (2015; dashed line), the CCC model uses the CCC data presented in this work (dot-dashed line) and the BSR model uses the BSR data presented here (triple-dot-dashed line). The shaded region shows the expected values of A(Mg) for a typical star of the given metallicity. The points show the calculated points.

Current usage metrics show cumulative count of Article Views (full-text article views including HTML views, PDF and ePub downloads, according to the available data) and Abstracts Views on Vision4Press platform.

Data correspond to usage on the plateform after 2015. The current usage metrics is available 48-96 hours after online publication and is updated daily on week days.

Initial download of the metrics may take a while.