Free Access

Fig. 4

image

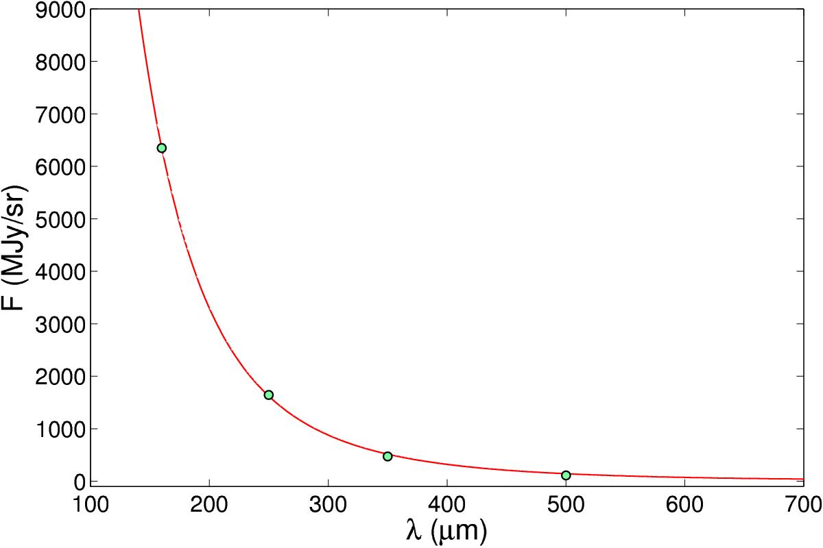
Far-infrared and submillimeter continuum fluxes of MSXG52 in the Herschel 160, 250, 350 and 500 μm bands. The red line is the best-fit graybody model (Eq. (6)) corresponding to a dust temperature of ~48 K and H2 column density of ~ 2 × 1021 cm-2.

Current usage metrics show cumulative count of Article Views (full-text article views including HTML views, PDF and ePub downloads, according to the available data) and Abstracts Views on Vision4Press platform.

Data correspond to usage on the plateform after 2015. The current usage metrics is available 48-96 hours after online publication and is updated daily on week days.

Initial download of the metrics may take a while.