Free Access

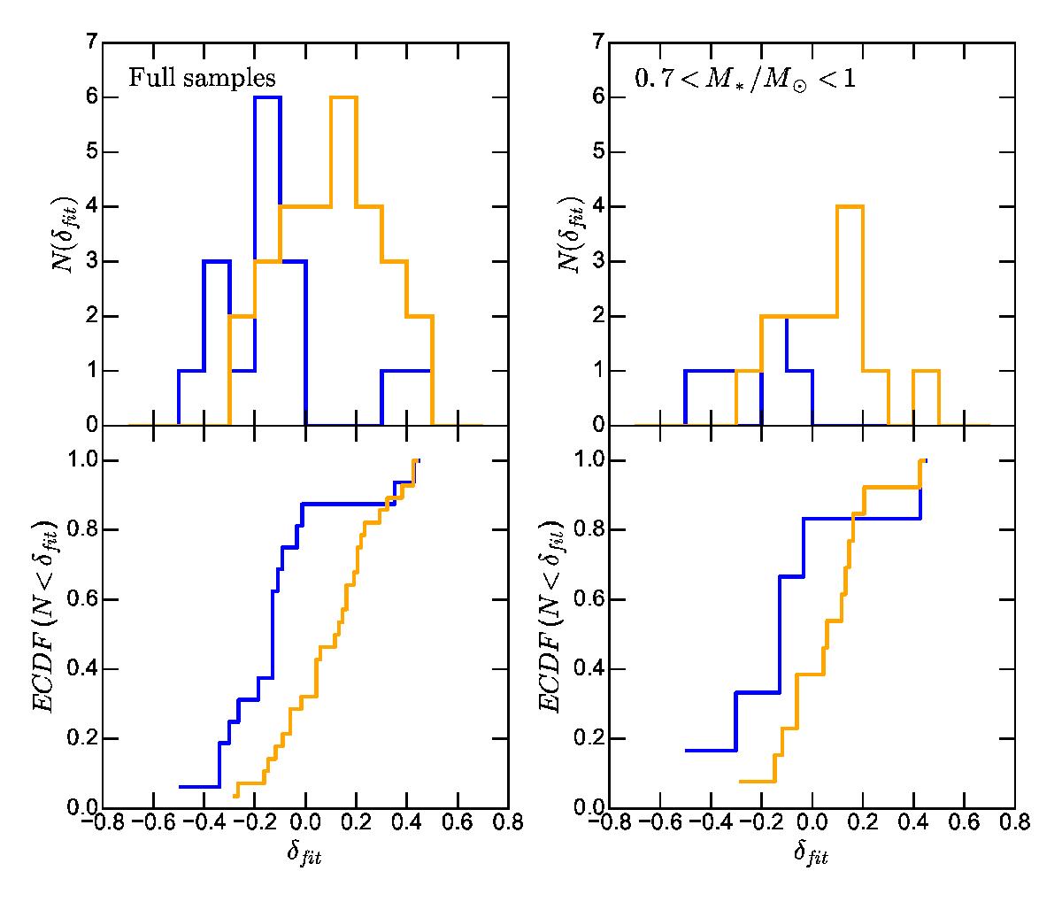
Fig. 12

image

Top panels: distribution of the parameter δfit (see text) for the Lupus (blue) and Taurus-Auriga and Ophiuchus (yellow) samples. In the left panel we show the full samples, while in the right one we restrict to the range 0.7 ≤ M/M ≤ 1. Bottom panels: empirical cumulative distribution functions for the values of δfit for the same samples as in the upper panels.

Current usage metrics show cumulative count of Article Views (full-text article views including HTML views, PDF and ePub downloads, according to the available data) and Abstracts Views on Vision4Press platform.

Data correspond to usage on the plateform after 2015. The current usage metrics is available 48-96 hours after online publication and is updated daily on week days.

Initial download of the metrics may take a while.