Free Access

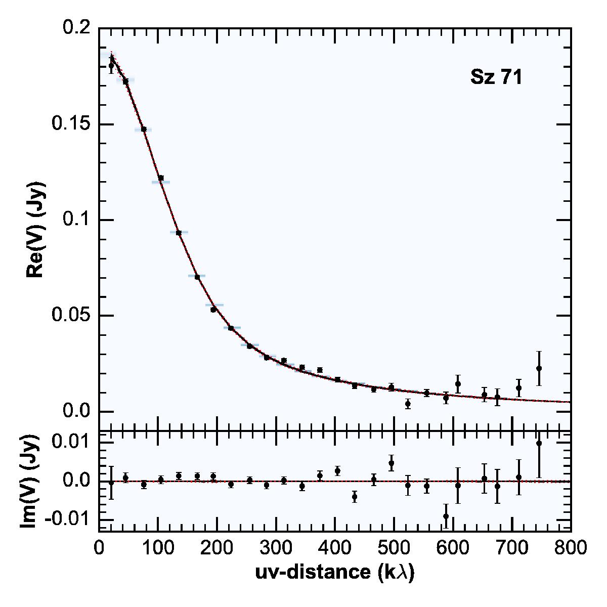
Fig. 5

image

Comparison between model and observed visibilities of Sz 71 as a function of deprojected baseline length (uv-distance). The panel above (below) shows the real (imaginary) part of the visibilities. Black dots show the observed visibilities (binned every 30 kλ), the blue density indicators represent the PDF of the model visibilities in each uv-bin. The black solid line corresponds to the median of the model visibilities PDF, the black dashed lines the 16th and 84th percentiles, the red dotted lines the 2.7th and 97.7th percentiles.

Current usage metrics show cumulative count of Article Views (full-text article views including HTML views, PDF and ePub downloads, according to the available data) and Abstracts Views on Vision4Press platform.

Data correspond to usage on the plateform after 2015. The current usage metrics is available 48-96 hours after online publication and is updated daily on week days.

Initial download of the metrics may take a while.