Free Access

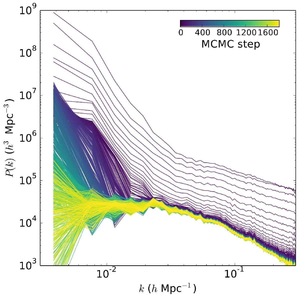
Fig. 4

image

Sequence of posterior power spectrum realizations during the initial sampling steps of the Markov chain as indicated by the colour bar in the plot. The Markov chain performs a coherent drift from an over-disperse initial state towards the preferred region in parameter space. This initial burn-in phase lasts for ~2000 Markov transitions.

Current usage metrics show cumulative count of Article Views (full-text article views including HTML views, PDF and ePub downloads, according to the available data) and Abstracts Views on Vision4Press platform.

Data correspond to usage on the plateform after 2015. The current usage metrics is available 48-96 hours after online publication and is updated daily on week days.

Initial download of the metrics may take a while.