Free Access

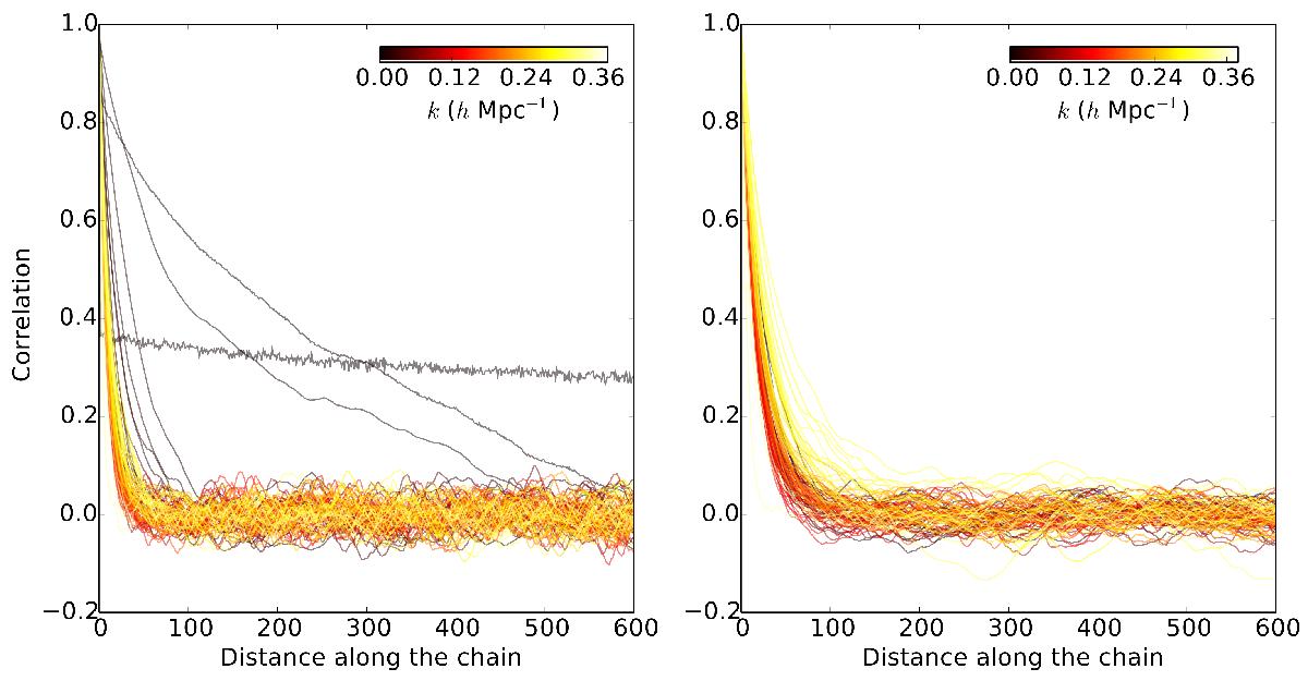
Fig. 5

image

Correlation length of the sampler for different modes as indicated by the colour bar on the left. Most of the modes have typical correlation lengths of the order of 100 samples. Some large-scale modes exhibit a longer correlation length, as explained in the text.

Current usage metrics show cumulative count of Article Views (full-text article views including HTML views, PDF and ePub downloads, according to the available data) and Abstracts Views on Vision4Press platform.

Data correspond to usage on the plateform after 2015. The current usage metrics is available 48-96 hours after online publication and is updated daily on week days.

Initial download of the metrics may take a while.