Free Access

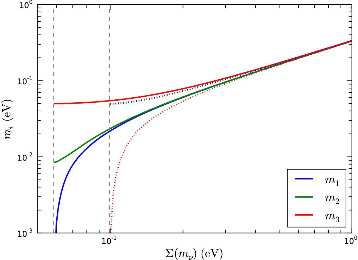
Fig. 1

image

Individual neutrino masses as a function of Σmν for the two hierarchies (NH: plain line, IH dotted lines), under the assumptions given by Eqs. (1)–(3). The vertical dahed lines outline the minimal Σmν value allowed in each case (corresponding to one massless neutrino generation). The log vertical axis prevents from the difference between m1 and m2 to be resolved in IH.

Current usage metrics show cumulative count of Article Views (full-text article views including HTML views, PDF and ePub downloads, according to the available data) and Abstracts Views on Vision4Press platform.

Data correspond to usage on the plateform after 2015. The current usage metrics is available 48-96 hours after online publication and is updated daily on week days.

Initial download of the metrics may take a while.