Free Access

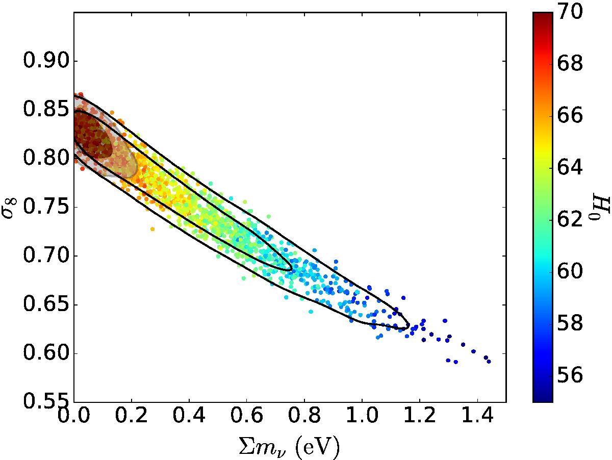
Fig. 6

image

Bayesian sampling of the hlpTTps+lowTEB posterior in the Σmνσ8 plane, colour-coded by H0. In flat νΛCDM models, higher Σmν damps σ8, but also decreases H0. Solid black contours show one and two σ constraints from hlpTTps+lowTEB, while filled contours illustrate the results after adding BAO and SNIa data.

Current usage metrics show cumulative count of Article Views (full-text article views including HTML views, PDF and ePub downloads, according to the available data) and Abstracts Views on Vision4Press platform.

Data correspond to usage on the plateform after 2015. The current usage metrics is available 48-96 hours after online publication and is updated daily on week days.

Initial download of the metrics may take a while.