Free Access

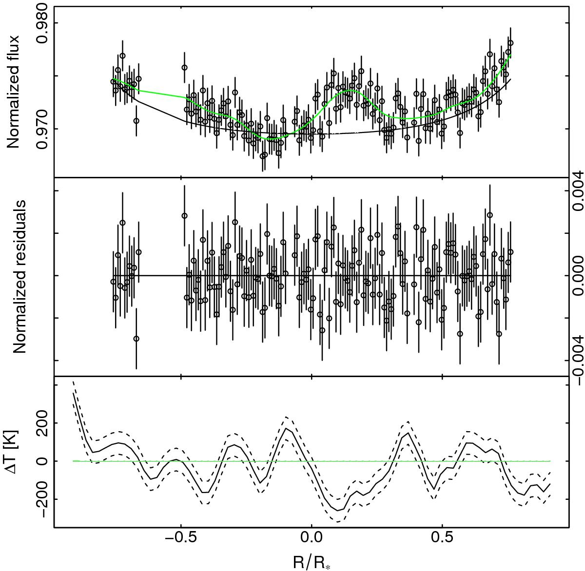
Fig. 7

image

Top panel: CoRoT-2 LC discussed in the text. The unperturbed model and the transit fit are represented by the solid black line and the solid green line respectively. Middle: residuals of the transit fit. Bottom: the reconstructed transit chord with the uncertainty on the reconstruction shown in dashes.

Current usage metrics show cumulative count of Article Views (full-text article views including HTML views, PDF and ePub downloads, according to the available data) and Abstracts Views on Vision4Press platform.

Data correspond to usage on the plateform after 2015. The current usage metrics is available 48-96 hours after online publication and is updated daily on week days.

Initial download of the metrics may take a while.