Free Access

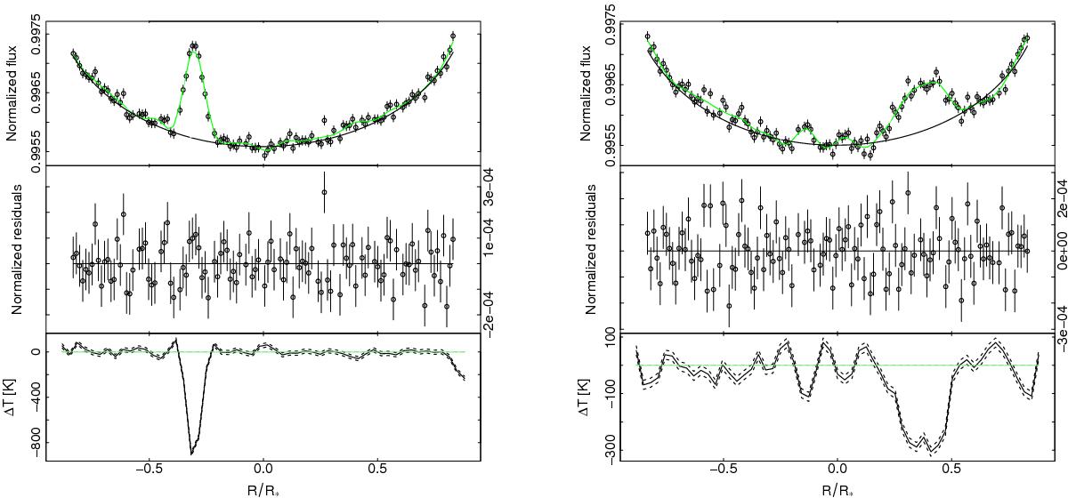
Fig. 8

image

As in Fig. 7 for the HAT-P-11 system discussed in the text. The left and right panels show the result for the transits occurring on BJD = 2 454 967.6 and BJD = 2 455 671.4 respectively.

This figure is made of several images, please see below:

Current usage metrics show cumulative count of Article Views (full-text article views including HTML views, PDF and ePub downloads, according to the available data) and Abstracts Views on Vision4Press platform.

Data correspond to usage on the plateform after 2015. The current usage metrics is available 48-96 hours after online publication and is updated daily on week days.

Initial download of the metrics may take a while.