Free Access

Fig. 9

image

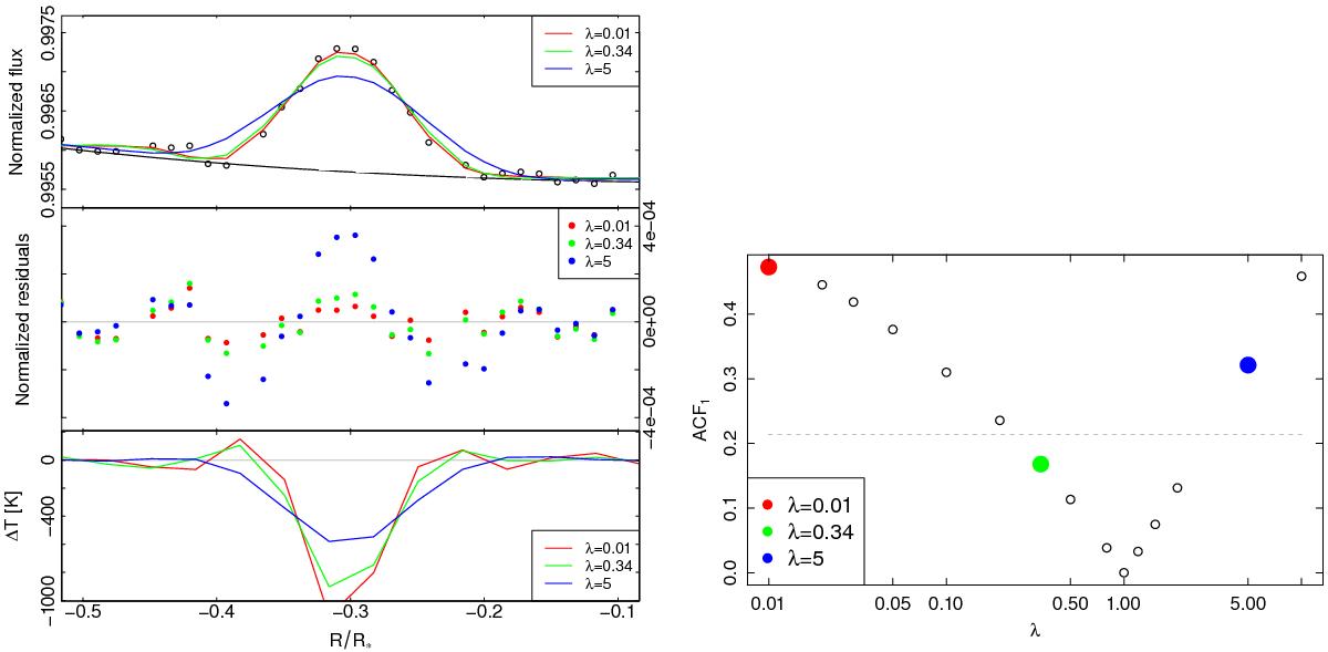
Left panel: zoom in of the left panel in Fig. 8, showing the effect of different values of λ in the reconstruction algorithm. Right panel: autocorrelation ACF1 between neighboring cells in the residuals vs. λ. The three examples shown in the left panel are marked in colors, while the gray dashes represent the threshold adopted in Sect. 2.3 (see text for discussion).

This figure is made of several images, please see below:

Current usage metrics show cumulative count of Article Views (full-text article views including HTML views, PDF and ePub downloads, according to the available data) and Abstracts Views on Vision4Press platform.

Data correspond to usage on the plateform after 2015. The current usage metrics is available 48-96 hours after online publication and is updated daily on week days.

Initial download of the metrics may take a while.