Free Access

Fig. 10

image

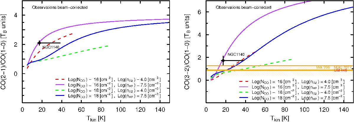
RADEX models (with ΔV = 20 km s-1) of 12CO line ratios plotted against Tkin: the left panel shows 12CO(2–1)/12CO(1–0) and the right 12CO(3–2)/12CO(1–0). The observations of NGC 1140, shown as a (black) filled circle, have been corrected for beam dilution assuming an exponential source distribution as described in Sect. 4 (see also Figs. 3 and 4). The approximate best-fit RADEX model for NGC 1140 (see Sect. 7.3) is shown in both panels as (purple) solid curves that coincide very well with the observations of NGC 1140. Also shown are three additional parameter combinations of 12CO column density N12CO and volume density nH2. The R31 parameter space occupied by the other galaxies (like Fig. 4, no beam corrections) is shown in the right-hand panel as a hatched region and solid horizontal lines (NGC 7077, UM 448, and an upper limit for Mrk 996).

This figure is made of several images, please see below:

Current usage metrics show cumulative count of Article Views (full-text article views including HTML views, PDF and ePub downloads, according to the available data) and Abstracts Views on Vision4Press platform.

Data correspond to usage on the plateform after 2015. The current usage metrics is available 48-96 hours after online publication and is updated daily on week days.

Initial download of the metrics may take a while.