Free Access

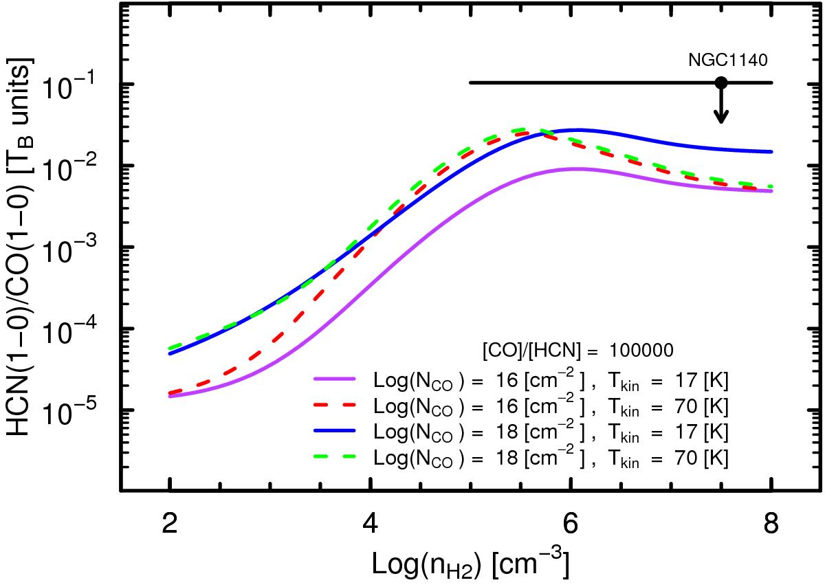
Fig. 15

image

RADEX models of HCN(1–0)/12CO(1–0) line ratios plotted against nH2, and assuming [CO]/[HCN] = 105. Here the ΔV = 20 km s-1 models are illustrated. The upper limit HCN(1–0)/12CO(1–0) ratio for NGC 1140, shown as a (black) filled circle, has not been corrected for beam dilution because of the similar beam sizes for the two transitions. The approximate best-fit RADEX model for NGC 1140 is shown as a (purple) solid curve that is consistent with the non-detection of HCN(1–0). Also shown are three additional parameter combinations of 12CO column density N12CO and volume density nH2.

Current usage metrics show cumulative count of Article Views (full-text article views including HTML views, PDF and ePub downloads, according to the available data) and Abstracts Views on Vision4Press platform.

Data correspond to usage on the plateform after 2015. The current usage metrics is available 48-96 hours after online publication and is updated daily on week days.

Initial download of the metrics may take a while.