Free Access

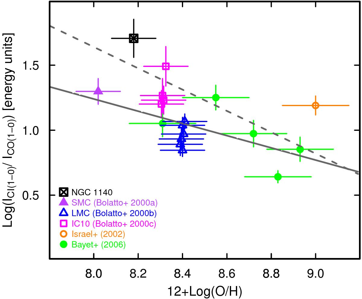
Fig. 5

image

Beam-corrected [Ci]/12CO(1–0) line ratios for NGC 1140 and galaxies from the literature plotted against oxygen abundance 12 + log(O/H). The solid line corresponds to the data regression by Bolatto et al. (2000a), and the dashed one to the PDR model by Bolatto et al. (1999). Beam dilution has been corrected for as described in Sect. 4.

Current usage metrics show cumulative count of Article Views (full-text article views including HTML views, PDF and ePub downloads, according to the available data) and Abstracts Views on Vision4Press platform.

Data correspond to usage on the plateform after 2015. The current usage metrics is available 48-96 hours after online publication and is updated daily on week days.

Initial download of the metrics may take a while.