Free Access

Fig. 11

image

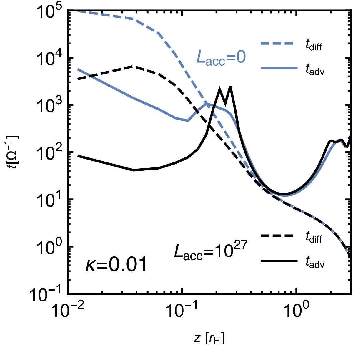
Advection timescale (solid curves) and thermal diffusion timescale (dashed curves) as functions of the vertical depth in the envelope. Black curves show results from the accreting planet (run RADL27k0.01). Outside the Hill radius, at heights above the scale height of the disk, heat exchange by radiative diffusion is efficient. Inside the Hill radius, around 0.5rH, we find a balance between advection and diffusion, as the timescales become comparable and are on the order of 10100. However, closer to the core, around 0.3rH, we note that the diffusion timescale is much shorter than the advection timescale, which corresponds to a radiative zone in the envelope. At even closer distances to the core, within 0.2rH, convective-like overturning motions become the predominant mode of energy transport as heat diffusion timescales reach timescales of 104. Blue curves show the results for the same planet after the phase of solid accretion (run RADL0k0.01). Advection and radiative timescales follow a similar evolution to depth in the envelope. In the interior however, timescales increase by more than an order of magnitude.

Current usage metrics show cumulative count of Article Views (full-text article views including HTML views, PDF and ePub downloads, according to the available data) and Abstracts Views on Vision4Press platform.

Data correspond to usage on the plateform after 2015. The current usage metrics is available 48-96 hours after online publication and is updated daily on week days.

Initial download of the metrics may take a while.