Free Access

Fig. 14

image

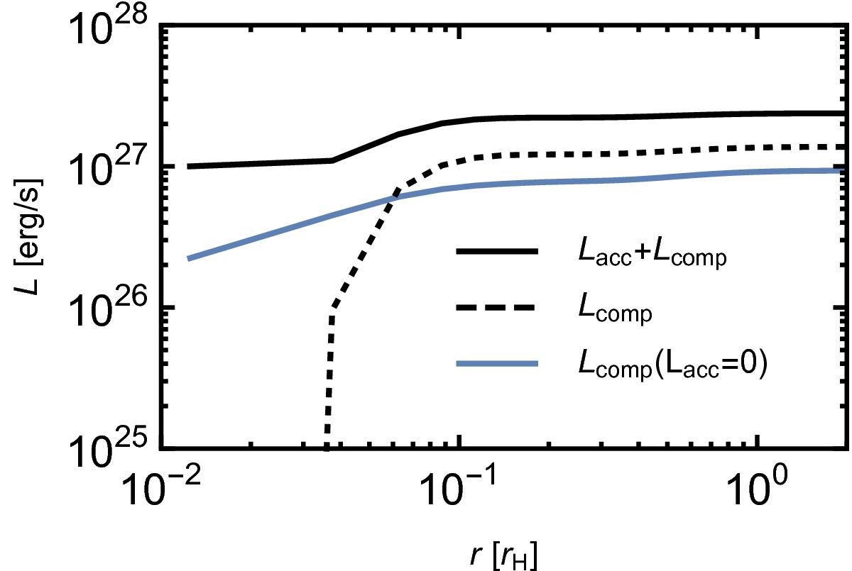
Luminosity generated around the core. The blue curve shows the integrated energy released by compressional heating as a function of radius r in the absence of heating by solid accretion (run RADL0k0.01). Black curves correspond to run RADL27k0.01. The solid line gives the sum of the accretion heat and the contribution by compressional heating (Lcomp = Lacc + Lcomp). This latter fraction is depicted by the black dashed line.

Current usage metrics show cumulative count of Article Views (full-text article views including HTML views, PDF and ePub downloads, according to the available data) and Abstracts Views on Vision4Press platform.

Data correspond to usage on the plateform after 2015. The current usage metrics is available 48-96 hours after online publication and is updated daily on week days.

Initial download of the metrics may take a while.