Free Access

Fig. 17

image

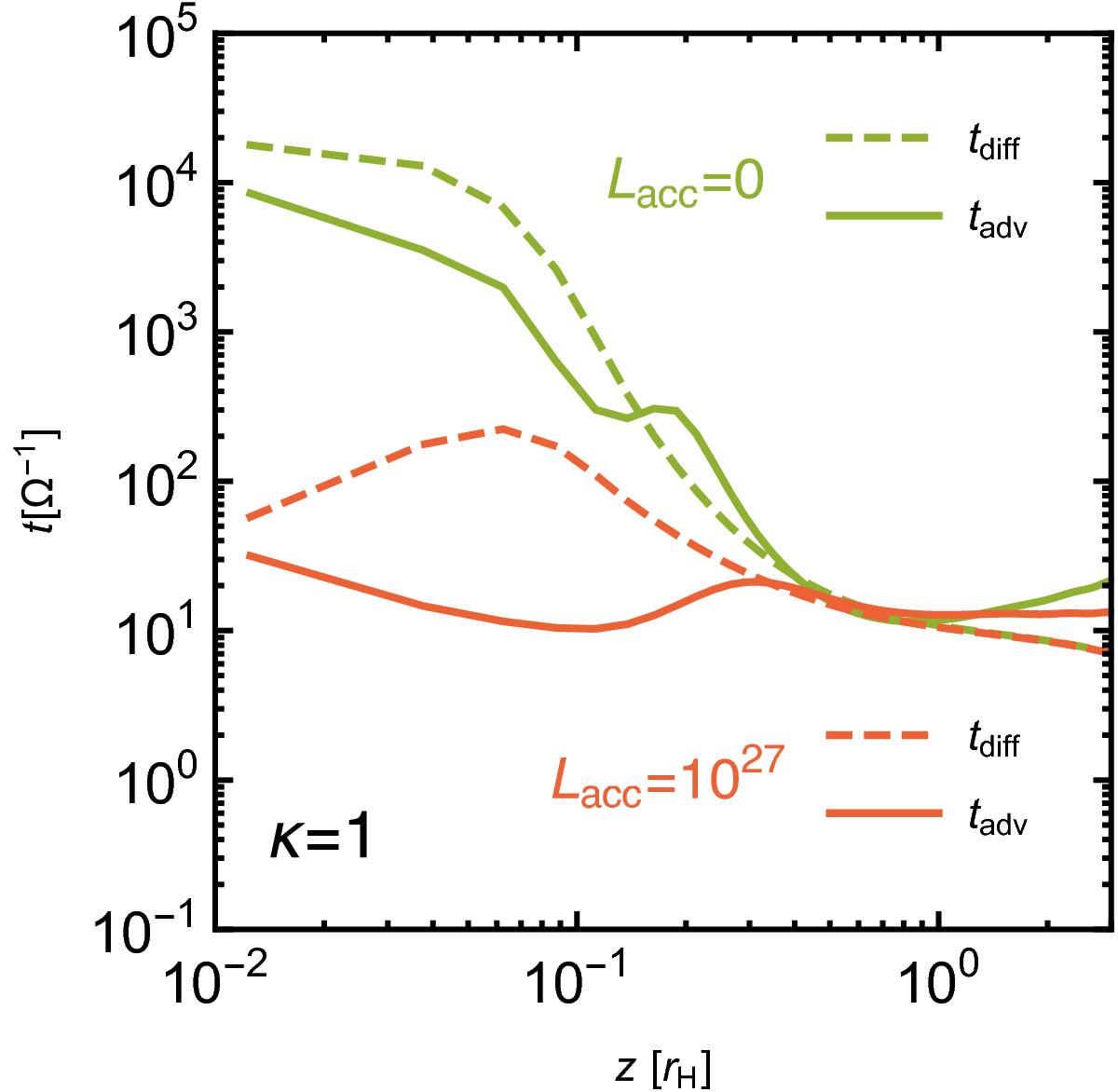
Advection and thermal diffusion timescales through the envelope, similar to Fig. 11, but for an unreduced opacity κ = 1 cm2/g. Red curves show the results from run RADL27k1, which is the model of a solid-accreting core. Advection timescales are short, on the order of 10 throughout the envelope. The case without energy deposition by solid accretion (run RADL0k1, green curves) shows that advection and diffusion timescales are on the same order and peak towards the inner envelope where they become as long as 104.

Current usage metrics show cumulative count of Article Views (full-text article views including HTML views, PDF and ePub downloads, according to the available data) and Abstracts Views on Vision4Press platform.

Data correspond to usage on the plateform after 2015. The current usage metrics is available 48-96 hours after online publication and is updated daily on week days.

Initial download of the metrics may take a while.