Free Access

Fig. 2

image

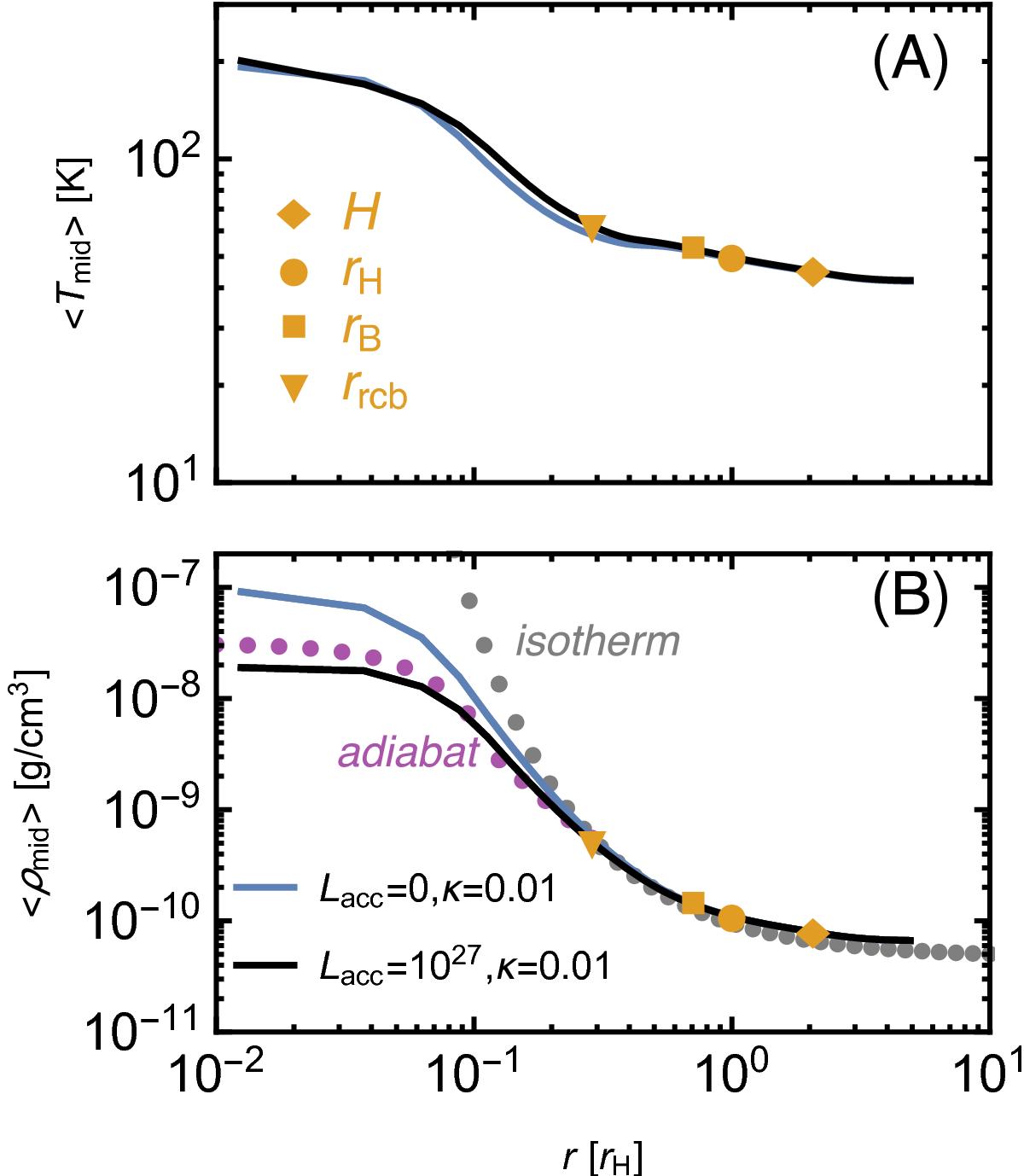
Averaged envelope structure for an envelope undergoing solid accretion at a rate of 10 ME/Myr (black) and an envelope not undergoing solid accretion (blue). Shown are the azimuthally averaged temperature and density in the planetary midplane (RADL27k0.01,RADL0k0.01). The diamond indicates the gas scale height H of the protoplanetary disk at the location of the planet, the circle the Hill radius rH of the 5ME core, the square the Bondi radius rB, and the triangle the estimated position of the radiative-convective boundary rrcb. The top panel (A) displays the temperature. The bottom panel (B) shows the azimuthally averaged density in the midplane. In the background we also show the density structure for a cooled-down isothermal planet with a gray dotted curve. An adiabatic convective interior, a polytrope with γ = 1.4, is shown with the purple dotted line up to rrcb.

Current usage metrics show cumulative count of Article Views (full-text article views including HTML views, PDF and ePub downloads, according to the available data) and Abstracts Views on Vision4Press platform.

Data correspond to usage on the plateform after 2015. The current usage metrics is available 48-96 hours after online publication and is updated daily on week days.

Initial download of the metrics may take a while.