Free Access

Fig. 20

image

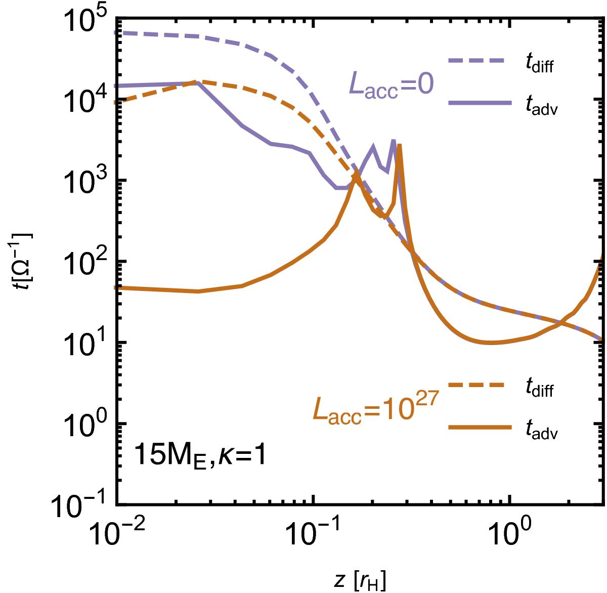
Advection and thermal diffusion timescales through the envelope, similar to Fig. 11, but measured now around a 15ME core in an unreduced opacity environment with κ = 1 cm2/g (runs RADL27k1M15 and RADL0k1M15).

Current usage metrics show cumulative count of Article Views (full-text article views including HTML views, PDF and ePub downloads, according to the available data) and Abstracts Views on Vision4Press platform.

Data correspond to usage on the plateform after 2015. The current usage metrics is available 48-96 hours after online publication and is updated daily on week days.

Initial download of the metrics may take a while.