Free Access

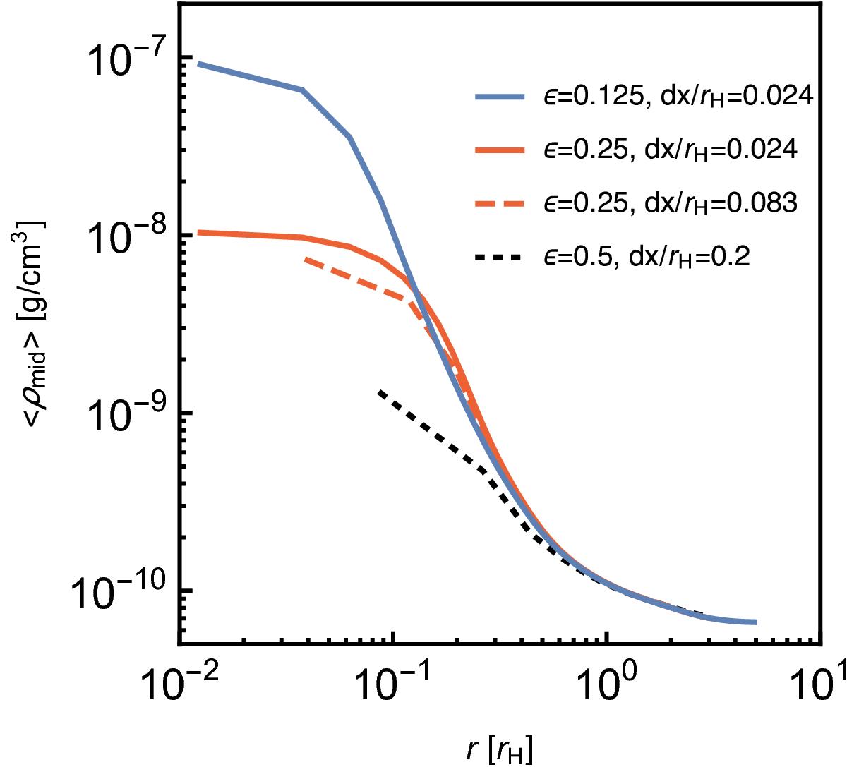
Fig. A.1

image

Azimuthally averaged density profile in the midplane for different smoothing lengths and resolutions. The legend indicates the used smoothing length parameter ϵ = rsm/rH and the characteristic grid cell width inside the envelope (dx/rH). Only in our highest resolution runs with a small smoothing length do we correctly capture the envelope structure to within a radius of 0.1rH. Inside this radius, we start to see the influence of the smoothing length that reduces gas densities towards the core.

Current usage metrics show cumulative count of Article Views (full-text article views including HTML views, PDF and ePub downloads, according to the available data) and Abstracts Views on Vision4Press platform.

Data correspond to usage on the plateform after 2015. The current usage metrics is available 48-96 hours after online publication and is updated daily on week days.

Initial download of the metrics may take a while.