Free Access

Fig. A.3

image

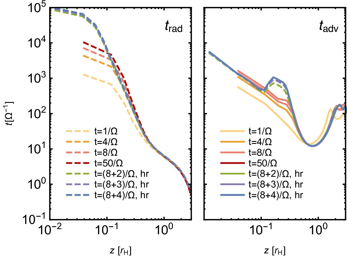
Convergence of radiative and advective timescales. Radiative timescales in run RADL27k0.01LONG converge rapidly in about 4 orbits, outside the smoothing radius at 0.25 rH. Little change occurs between 8 to 50 orbits. After 8 medium resolution orbits, the restart at high resolution, labeled hr in the legend, does not alter tdiff outside 0.1rH. Advective timescales also settle quickly. We note, however, that approximately 4 orbits at high resolution are required to capture the increased vertical advection timescale around 0.2rH (run RADL27k0.01).

Current usage metrics show cumulative count of Article Views (full-text article views including HTML views, PDF and ePub downloads, according to the available data) and Abstracts Views on Vision4Press platform.

Data correspond to usage on the plateform after 2015. The current usage metrics is available 48-96 hours after online publication and is updated daily on week days.

Initial download of the metrics may take a while.