Free Access

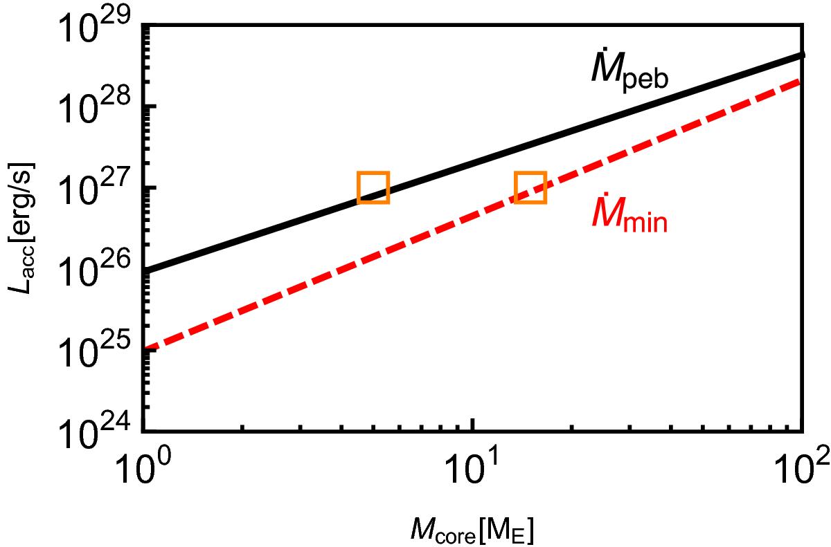
Fig. E.1

image

Luminosity from the accretion of solids. The black curve corresponds to the luminosity by pebble accretion, which can be considered the maximum possible accretion rate. The red dashed line gives a lower bound on the accretion luminosity from the requirement in order to have sufficiently high accretion rates to finish core growth within the lifetime of the protoplanetary disk. The orange squares represent the accretion luminosities explored in this work.

Current usage metrics show cumulative count of Article Views (full-text article views including HTML views, PDF and ePub downloads, according to the available data) and Abstracts Views on Vision4Press platform.

Data correspond to usage on the plateform after 2015. The current usage metrics is available 48-96 hours after online publication and is updated daily on week days.

Initial download of the metrics may take a while.