Free Access

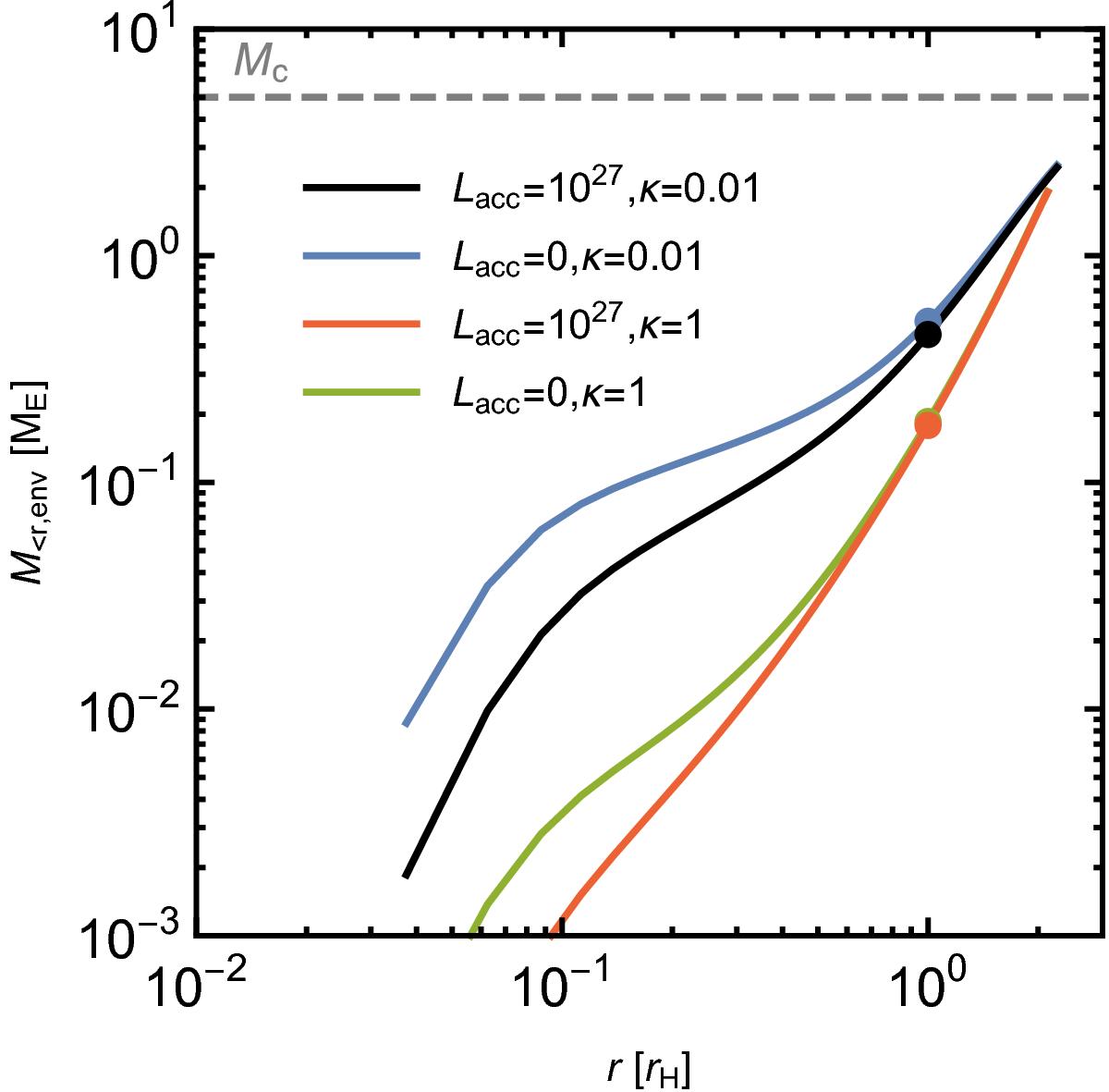
Fig. 8

image

Enclosed gas mass, as a function of envelope radius r, around a 5 ME core (runs RADL27k0.01, RADL0k0.01, RADL271, RADL0k1). The interior envelope mass decreases when solid accretion rates increase. Higher dust opacities (κ = 1 cm2/g) decrease the envelope mass. The circles indicate the total interior mass within the Hill sphere.

Current usage metrics show cumulative count of Article Views (full-text article views including HTML views, PDF and ePub downloads, according to the available data) and Abstracts Views on Vision4Press platform.

Data correspond to usage on the plateform after 2015. The current usage metrics is available 48-96 hours after online publication and is updated daily on week days.

Initial download of the metrics may take a while.