Free Access

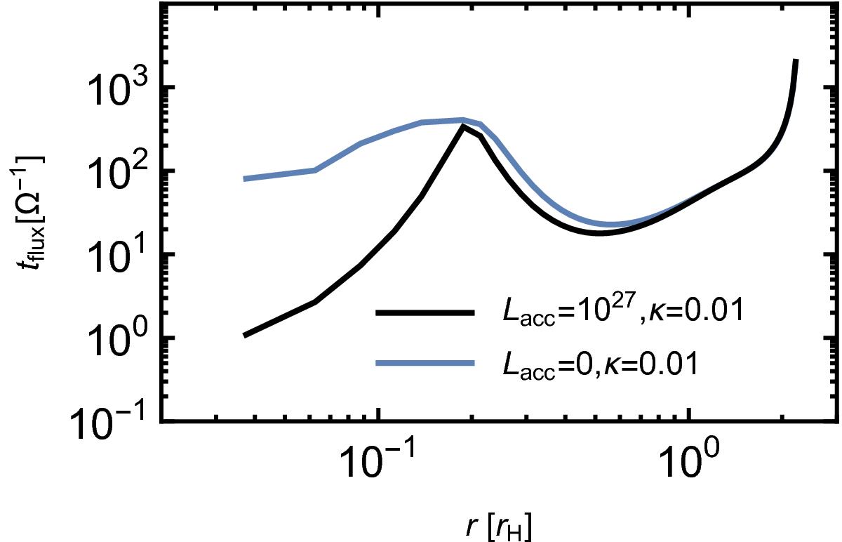
Fig. 9

image

Vertical mass flux through a shell with radius r. The quantity shown is the timescale tflux, over which the mass flux replenishes the mass interior to a radius r. The black curve corresponds to run RADL27k0.01, the blue curve to run RADL0k0.01. The total flow outside r ≳ 0.3rH is dominated by vertical infall. The mass flow is on the order of 1% of the envelope per orbit. For the planet accreting solids, tflux decreases towards the core because of convective motions that are not present in run RADL0k0.01. Near the core interpretation is difficult because of poor resolution on these small scales.

Current usage metrics show cumulative count of Article Views (full-text article views including HTML views, PDF and ePub downloads, according to the available data) and Abstracts Views on Vision4Press platform.

Data correspond to usage on the plateform after 2015. The current usage metrics is available 48-96 hours after online publication and is updated daily on week days.

Initial download of the metrics may take a while.