Free Access

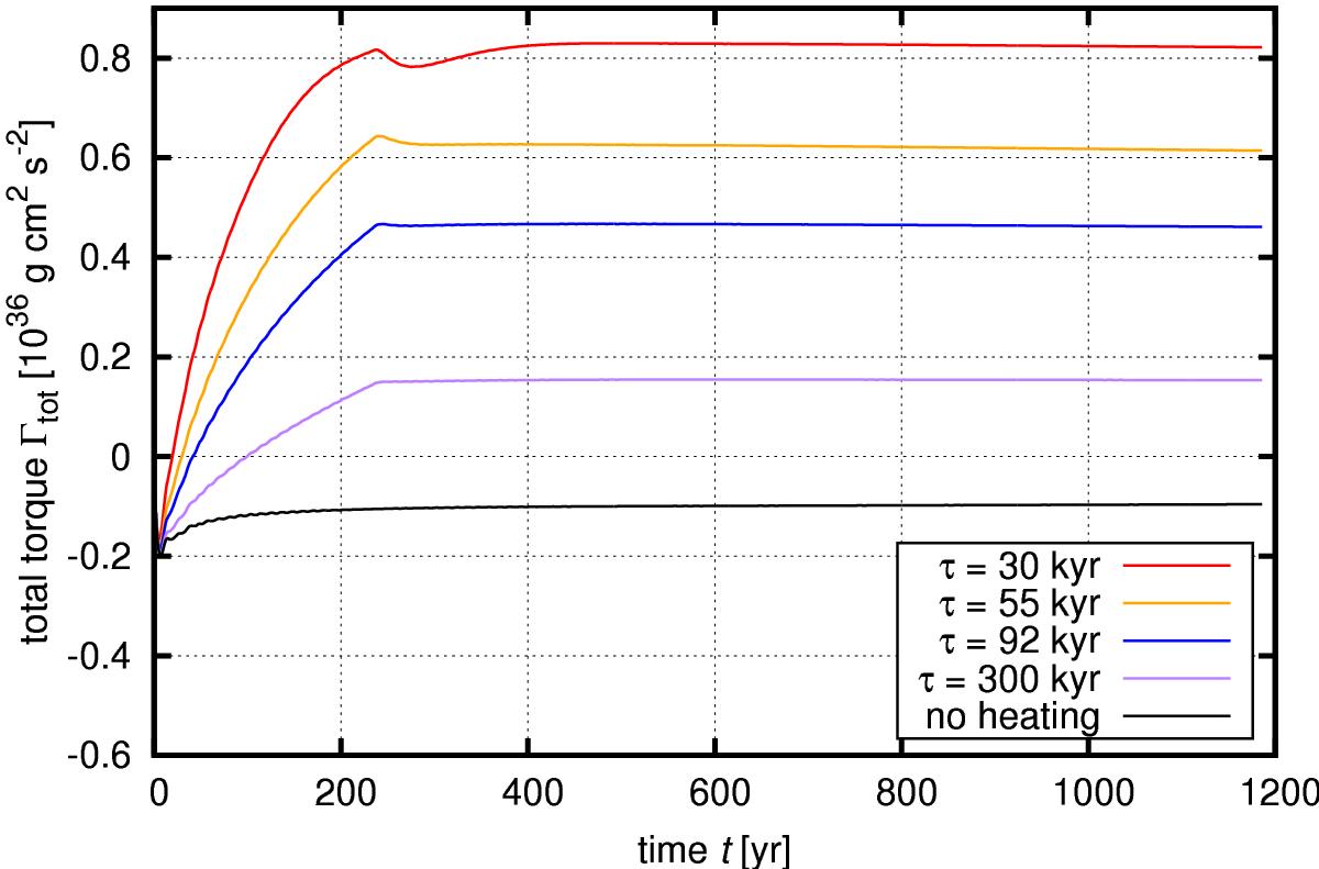
Fig. D.5

image

Total torque Γtot measurement in the experiment according to Benítez-Llambay et al. (2015), reproduced using our 2D code. The 3 ME embryo is either non-accreting (black curve) or growing with the doubling time τ (we refer to the legend). The positive heating torque becomes stronger with high accretion rates corresponding to short doubling times.

Current usage metrics show cumulative count of Article Views (full-text article views including HTML views, PDF and ePub downloads, according to the available data) and Abstracts Views on Vision4Press platform.

Data correspond to usage on the plateform after 2015. The current usage metrics is available 48-96 hours after online publication and is updated daily on week days.

Initial download of the metrics may take a while.