Free Access

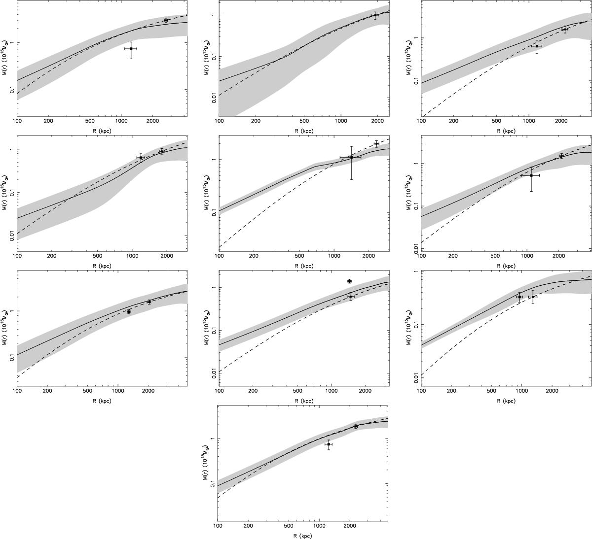
Fig. C.5

image

Caustic mass profile (solid curve) and its 1σ confidence interval (shaded area). The dashed curve corresponds to the NFW mass profile derived from the Jeans analysis; it passes through the point (R200,M200). The second point shows the couple (R500,M500) derived from the X-ray analysis. From left to right, top to bottom: RXC J0014, RXC J0225, RXC J0516, RXC J0528, RXC J0658, RXC J1131, RXC J1206, RXC J1347, RXC J2011, and RXC J2308.

This figure is made of several images, please see below:

Current usage metrics show cumulative count of Article Views (full-text article views including HTML views, PDF and ePub downloads, according to the available data) and Abstracts Views on Vision4Press platform.

Data correspond to usage on the plateform after 2015. The current usage metrics is available 48-96 hours after online publication and is updated daily on week days.

Initial download of the metrics may take a while.