Free Access

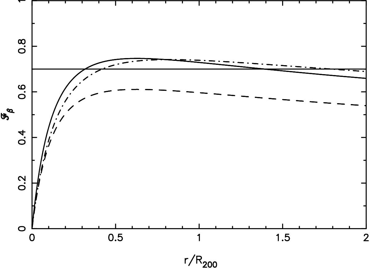
Fig. 5

image

Radial variation of the filling factor β(r) for a NFW mass profile with M200 = 1015 M and c200 = 4. The horizontal line shows the approximation used in this work, β(r) = 0.7. The dashed curve corresponds to a constant anisotropy β = 0, the solid curve is for β = 0.5, while the dot-dashed curve is obtained with a ML profile characterised by rβ = 0.2 R200.

Current usage metrics show cumulative count of Article Views (full-text article views including HTML views, PDF and ePub downloads, according to the available data) and Abstracts Views on Vision4Press platform.

Data correspond to usage on the plateform after 2015. The current usage metrics is available 48-96 hours after online publication and is updated daily on week days.

Initial download of the metrics may take a while.