Free Access

Fig. 11

image

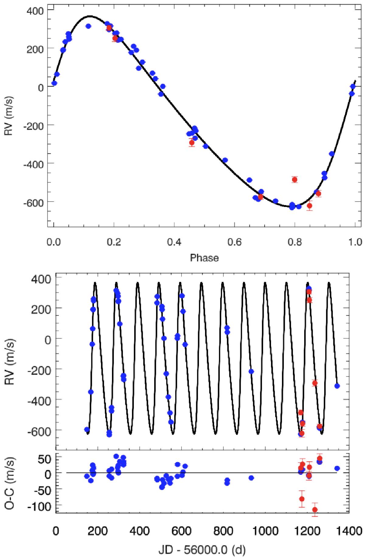
GIANO NIR radial velocity with red circles and HARPS-N optical RVs with blue circles. The best fit Keplerian model obtained from optical data is plotted with a solid black line. The top panel shows the RV data in function of the phase. The bottom panel shows the RV as a function of the time and the residuals information. The NIR radial velocities (in red) are in excellent agreement with the optical data (in blue).

This figure is made of several images, please see below:

Current usage metrics show cumulative count of Article Views (full-text article views including HTML views, PDF and ePub downloads, according to the available data) and Abstracts Views on Vision4Press platform.

Data correspond to usage on the plateform after 2015. The current usage metrics is available 48-96 hours after online publication and is updated daily on week days.

Initial download of the metrics may take a while.